Journal of Creation 27(2):91–98, August 2013
Browse our latest digital issue Subscribe
Two possible mechanisms linking cosmic rays to weather and climate
Long-age interpretations of earth history have led uniformitarian climate scientists to conclude that dramatic climate fluctuations that occurred in the past could also occur in the present, with possibly disastrous consequences. Hence there is a subtle connection between ‘global warming’ alarmism and the creation–evolution controversy. However, such alarmism fails to take into account the most dramatic ‘climate change’ event in history, the Genesis Flood, which is a non-repeatable event (Genesis 9:11–16). Another reason for a judicious approach regarding this issue is the very real possibility that current meteorological and climatological models are not taking into account all the relevant physics. In recent years there has been interest in theories that cosmic rays could be affecting weather and climate. The most well known of these is Henrik Svensmark’s theory of ‘ion-mediated nucleation’ (IMN). However, there is a second, less-publicized, mechanism, called ‘charge modulation of aerosol scavenging’ (CMAS), by which cosmic rays could affect weather and climate. This article provides a discussion of both theories. However, because the CMAS mechanism is less well known, it will be discussed in greater detail.
Uniformitarian interpretations of earth history contribute to ‘climate change’ alarmism.1 δ18O fluctuations in the high-latitude ice sheets are believed by both creationists and uniformitarians to be suggestive of dramatic temperature fluctuations (possibly as much as 20°C).2 Because uniformitarians assume that ‘the present is the key to the past’, they conclude that such dramatic climate change could also occur in the present, with possibly disastrous results.
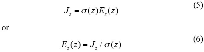
However, creationists argue that these dramatic fluctuations occurred during the post-Flood Ice Age. Thus, within a creationist framework, these dramatic fluctuations occurred as a result of a unique, non-repeatable (Genesis 9:11–16) catastrophic event. Hence a biblical worldview helps to guard against ‘panic’ over possible future changes in climate.
Another reason for a judicious approach to this issue is the fact that a major source of uncertainty in climate modelling is a lack of understanding of cloud behaviour.3 Hence a better understanding of the microscopic physical processes occurring within clouds is essential in order to construct theoretical models that accurately predict the amount of warming that may be occurring.4 Predictions about future climate change are based heavily upon computer modelling, and there is a very real possibility that climate models are not taking into account all the relevant physics. Obviously, such a failure will be a source of error in climate predictions.
In particular, there has been considerable recent interest in the possibility that cosmic rays could somehow be affecting weather and climate. A leaked early draft of the ‘Intergovernmental Panel on Climate Change (IPCC) 5th Assessment Report’ includes a discussion of a possible cosmic ray-weather/climate connection.5 Since the final version of the report will likely discuss this possible link, it seems appropriate to now discuss possible mechanisms behind such a connection.
There are at least two other reasons that such a link might be of interest to creationists. First, although no obvious ‘worldview’ issues are involved in the ‘global warming’ controversy (one could presumably be an orthodox Christian and still believe in catastrophic man-made global warming), there does seem to be a ‘spiritual’ component to this issue. For instance, the National Center for Science Education (NCSE) has now made ‘climate change’ a priority issue, in addition to its opposition to creation science and the Intelligent Design movement.6 Second, a convincing cosmic ray-weather/climate link might help to explain the severity of European winters during the coldest part of the so-called ‘Little Ice Age’ (~AD 1350–1885). In my opinion, such a plausible link has been proposed. Although the ‘Little Ice Age’ was not caused by a global flood, as was the post-Flood Ice Age, Klevberg and Oard have noted that a better understanding of the ‘Little Ice Age’ might result in improved understanding of the post-Flood Ice Age.7 For these reasons, J. Creation readers are likely to find this to be a topic of interest.
Climate and the sun
At first glance, it might seem difficult to see how the sun could be affecting short-term changes in weather and climate: the sun’s total radiant power output (per unit area), total solar irradiance (TSI), is very nearly constant, changing less than 0.1% over an 11-year solar cycle.8 Variation in the sun’s ultraviolet (UV) output has also been suggested as a possible influence upon weather and climate: solar UV variations might cause changes in stratospheric ozone and heating, which might affect weather and climate in the lower atmosphere. However, although such changes in UV output might conceivably influence climate over long (month-to-year) timescales, they do not seem capable of affecting weather on short (day-to-day) timescales, since calculations suggest that UV-induced stratospheric changes could take ~50–500 days to propagate down to the troposphere,9 the lowest layer of the atmosphere in which the ‘weather’ we experience takes place.
However, even if variations in solar irradiance (either total or UV) cannot cause short-term weather changes, the sun could still affect day-to-day weather changes by modulating the numbers of energetic charged particles that enter the earth’s atmosphere. These charged particles affect the number of atmospheric ions, which could conceivably influence weather through the two mechanisms discussed below.
The most important of these particles entering earth’s atmosphere are cosmic rays, discovered 100 years ago by Austrian-American physicist Victor Hess.10 Cosmic rays consist mainly (about 90%) of energetic (MeV to GeV) protons that have been accelerated by supernovae remnants (and possibly other sources) within our Milky Way galaxy.11
For this reason, cosmic rays are often referred to as galactic cosmic rays (GCR), although such energetic particles also originate from the sun (sporadically) and from interplanetary space.12,13 The interplanetary magnetic field (IMF) embedded within the solar wind tends to ‘shield’ the earth from these charged particles. Hence cosmic ray fluxes into the atmosphere are greater during periods of low solar activity, when the interplanetary magnetic field (IMF) is weaker (cosmic ray flux into the upper atmosphere varies by ~15% over a solar cycle).14 The sun is also capable of modulating GCR fluxes over shorter timescales. Coronal mass ejections (CMEs) are large bubbles of plasma (containing magnetic field lines) which are ejected from the sun over intervals of several hours.15 When the plasma from the CME passes earth, there is a decrease in GCR flux called a Forbush decrease.16
The sun also modulates the flux of other energetic particles into the atmosphere, such as high-energy electrons that precipitate from the radiation belts into the stratosphere.
Showers of subatomic particles are produced as incoming cosmic rays are stopped by our atmosphere,17 ultimately resulting in large numbers of ions. Cosmic rays are the primary agent of atmospheric ionization at locations far from terrestrial sources of radioactivity.18 In fact, ionization due to GCR flux is apparently the only lower atmospheric geophysical process known to undergo large variations due to the level of solar activity.19 Currently, there are two main theories20 as to how cosmic rays could affect weather and climate, via modulation of the number of atmospheric ions.
Ion-mediated nucleation (IMN)
The first theory, ion-mediated nucleation (IMN), has received considerable publicity due to the work of Danish physicist Henrik Svensmark. It involves the fact that increases in GCR flux result in greater ion production within the troposphere. This greater number of ions facilitates the formation and growth of ultrafine aerosols, a fraction of which will grow into cloud condensation nuclei (CCNs). Since CCNs are needed for the formation of cloud droplets, 21 one might expect greater GCR fluxes to be associated with increased cloud cover. In fact, one of the main arguments for IMN is the existence of a number of such apparent correlations: Svensmark and Friis-Christensen first reported a correlation of total oceanic cloud cover with GCR fluxes over a period of about seven years (~1984–1991). After utilizing data from three additional data sets, they were able to extend the correlation from 1980 through 1996. However, they acknowledged that the data sets’ different satellite coverages, instrumentation, and cloud-cover-deriving algorithms made a detailed comparison of absolute cloud levels difficult.22 In 2000 Marsh and Svensmark presented an 11-year correlation of low-level cloud cover with GCR flux.23 In 2003 they presented a still lengthier correlation (1983–2001) of low cloud cover with cosmic rays.24
A second argument for IMN involves the CERN CLOUD experiment results, which showed that GCR-induced ionization could increase the nucleation rate of both sulphuric acid and sulphuric acid-ammonia particles by a factor of 2–10 or more.25 Since models suggest that a significant fraction of low-level cloud CCNs result from nucleation,26 this is an argument that GCR fluxes could be modulating the number of CCNs in the atmosphere.
However, there are potential problems with Svensmark’s theory. The correlation first reported by Svensmark in 1997 was for a relatively short time interval (less than a full solar cycle). This raises the possibility that this apparent correlation was spurious. Also, it could be argued that Svensmark et al. have been ‘moving the goalposts’, since their first correlation involved total cloud cover, while later correlations involved only low-level cloud cover. Was this because the first correlation could not be replicated?
Moreover, for their lengthy 2003 correlation of low cloud cover with cosmic rays, Marsh and Svensmark made a controversial adjustment to the cloud data to allow for a possible calibration problem between September 1994 and January 1995, an adjustment that has been criticized by other researchers as unwarranted.27 Without this controversial adjustment, this correlation between cosmic rays and low cloud cover vanishes after the mid-1990s (figure 1). Also, as Marsh and Svensmark have acknowledged, one might expect GCR fluxes to exert a greater influence on high-level (rather than low-level) clouds, since GCR fluxes are greater at higher altitudes.28 Yet Marsh and Svensmark found no apparent correlation between GCR fluxes and the amount of high-level cloud cover.29,24
Second, Pierce and Adams used a general circulation model with online aerosol microphysics to obtain a calculated value for the size of changes in CCN (due to changes in GCR flux during a solar cycle). They concluded that such GCR flux-induced CCN changes were about a hundred times too small to account for observed changes in cloud properties.30 However, Svensmark submitted a paper contesting these model results in February 2012.31
While the CERN CLOUD experiment results could be viewed as providing support for Svensmark’s theory, Kirkby et al. acknowledged that the CLOUD experiment duplicated neither the concentrations or complexities of organic atmospheric vapors, nor did the experiment make clear what fraction of the nucleated particles could grow to sufficiently large size to form CCNs.25 Hence, although the CLOUD experiment results are interesting, it is not clear how applicable they are to the problem of atmospheric ionization.
Charge modulation of aerosol scavenging (CMAS)
The second theory, charge modulation of aerosol scavenging (CMAS), has been researched by Brian Tinsley of the University of Texas at Dallas. I will spend more time discussing it since the IMN theory is better known and has already been discussed in the creation literature. 32
I personally believe the CMAS mechanism to be more convincing than the IMN mechanism (full disclosure: Tinsley was my Ph.D. research advisor at UTD, and it should be noted that he does not share the editorial views of this journal). However, there are some apparent difficulties with the CMAS mechanism, which (due to space limitations) are discussed in a later article.33
The CMAS theory is based upon the fact that the rates at which aerosols (some of which may act as CCNs) are scavenged by cloud droplets may be affected by the presence of electric charge on the droplets and aerosols. Monte Carlo computer simulations34 have shown that, in general, the presence of like electric charge on both droplets and aerosols increases the rate at which large CCNs (radius > ~0.1 µm) are scavenged by cloud droplets, while simultaneously decreasing the rate at which smaller CCNs are scavenged (more details of this seemingly counterintuitive result are presented later). This increases the relative concentration of small CCNs within the cloud, which narrows the droplet size distribution and results in droplets of smaller average size.
This in turn makes the droplets more homogeneous. Because precipitation results from collisions of larger droplets with smaller ones (coagulation or coalescence), this homogenizing process reduces the likelihood of precipitation, which in turn increases cloud lifetime.
Cloud radiative properties
Clouds help to cool the earth by reflecting sunlight back into space, but they also absorb and reradiate infrared energy from the earth’s surface. Some of this infrared energy will be lost into space, and some of it will be reradiated downward, helping to warm the earth. Whether the net effect is one of cooling or heating depends on which of these two effects is larger.
So, would the CMAS mechanism result in a net heating or cooling effect? One might intuitively expect the smaller droplet sizes associated with the CMAS effect to result in a cooling effect (particularly at low latitudes, where there is greater incidence of solar radiation), since clouds with smaller droplets tend to reflect more sunlight back into space.
However, it is not actually that simple, since cloud radiative properties also depend upon factors such as altitude, thickness, and time of day.35 Moreover, as is discussed in another paper, increased cloud cover at one location could conceivably be accompanied by decreased cloud cover at another location.33 Hence extensive computer modelling would be necessary in order to determine whether the net global effect is one of cooling or heating.36
However, a large part of the variability in global warming predictions is due to differences in the ways in which cloud responses are modelled.37 A better understanding of the CMAS mechanism could lead to increased understanding of cloud behaviour, which could help to clarify the amount of any possible global warming.
Although it may seem reasonable that the amount of charge on cloud droplets and aerosols could ultimately affect cloud radiative properties, how can variations in the numbers of energetic charged particles entering the atmosphere affect the charge on cloud droplets and aerosols? The ‘global electric circuit’ provides an answer.
The global electric circuit (GEC)
The ionosphere and surface of the earth can be viewed as conducting ‘plates’ of a spherically symmetric capacitor38 (figure 2). Because the ionosphere is an excellent conductor, the ionospheric electric potential is uniform outside the magnetic polar caps (at high latitudes, this simple picture is complicated by electric potential patterns resulting from the interaction of the solar wind with the earth’s magnetic field).39 However, we will simplify matters by confining our discussion to the sub-polar cap regions. This global ionospheric potential Vi varies between 200 and 300 kV relative to the surface40 (with an average of ~+250 kV41) and is maintained by the upward transport of charge from a number of sources, the most important of which are low-latitude thunderstorms in the three ‘chimney’ regions of Africa, the Americas, and Indonesia/Australia.42
These thunderstorms can be thought of as ‘batteries’ or ‘generators’ that maintain the potential difference between the conducting ‘plates’ (this upward charge transport is not in the form of lighting but results from mechanical charge separation within thunderstorm clouds).
Because the thickness of the atmosphere is small compared to the earth’s radius, one can treat the ionosphere and earth’s surface as ‘plates’ of a parallel capacitor. ‘Sandwiched’ between these plates are the troposphere and stratosphere. Because the atmosphere is a weakly conducting medium, this is a ‘leaky’ capacitor: the ~250 kV voltage drives a ‘fair-weather’ return current, typically ~1 kilo-ampere.43
In a stably stratified atmosphere, this current will have no horizontal components. Hence, the current is directed downward and is characterized by a tiny vertical current density, Jz, of about 1–6 pA/m2 (trillionths of an ampere per square metre).41 Current continuity considerations lead one to expect Jz to be essentially constant with height all the way up to the ionosphere. This constancy of Jz with height has been confirmed via balloon-born instrument measurements to an altitude of 11 km over the North Atlantic and 31 km over the northern United States.44
Because the resistivity of the atmosphere is dependent upon local ionization rates and aerosol contents, the electrical resistance of a column of air between the earth’s surface and the base of the ionosphere will vary from one location to another. The resistance of a column of air with a base of 1 square metre is called the columnar resistance (units of Ωm2) and is denoted by R. This columnar resistance is composed of two resistors in series, the columnar resistance, T, of the troposphere and the columnar resistance, S, of the stratosphere.
Hence, one can treat the atmosphere as being composed of many parallel columnar resistors, each one of which is composed of two resistors, T and S, which are in series with one another (figure 345).
Ohm’s Law illustrates the dependence of Jz upon Vi, T, and S:
Hence, any factor which modulates Vi, T, or S will also modulate Jz. It should be noted that S is generally much less than T,46 except during times of high stratospheric aerosol content resulting from explosive volcanic eruptions.47 Thus eq. 1 becomes (for periods of low stratospheric aerosol loading)
Eq. 2 shows how, during periods of low stratospheric aerosol loading, variations in Vi and T will affect Jz. An increase in cosmic rays will increase the number of ions within the troposphere, thereby decreasing the tropospheric resistance T (much in the same way that salty water has a lower electrical resistance than deionized water). For a given value of Vi, this will result in a larger Jz. Likewise, a decrease in cosmic rays (for a given value of Vi) will increase T, resulting in a smaller value of Jz. Vi also modulates Jz: higher values of Vi (for a given value of T) increase Jz, and vice versa. During periods of high stratospheric aerosol loading, variations in S can also influence values of Jz, via eq. 1.
Thus basic high school physics (V = IR!) leads us to conclude that cosmic rays can affect Jz. But how can Jz affect charge within clouds?
Space charge within clouds
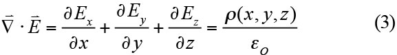
We may use Gauss’s and Ohm’s Laws to obtain an expression for the dependence of the electric charge density upon Jz. Eq. 3 below is Gauss’s Law, which relates the electric field to the charge density ρ:
The quantity on the left-hand side of eq. 3 is called the ‘divergence’ of the electric field, while the quantity ɛO is a constant called the ‘permittivity’ of ‘free space’.
Conceptually, eq. 3 states that the amount by which electric field lines diverge or converge from a given location is proportional to the amount of electric charge at that location.
In fair-weather, the horizontal x and y components of the electric field are zero, and stable stratification implies that ρ will depend only on z. Eq. 3 then becomes:
Ohm’s Law relates the current density to the electric field and the electrical conductivity σ (roughly, a measure of how σ easily an electrical current may be made to flow through a given material). In the vertical z direction this is
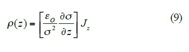
Rearranging eq. 4 yields an expression for ρ(z):
Because Jz is constant with height z, differentiating eq. 6 with respect to z yields
Since Jz is inherently negative in fair-weather (it points downward, in the negative z-direction), –Jz is the magnitude of the fair-weather current density. We insert eq. 8 into eq. 7 to obtain a final expression for the charge density:
where we have made the substitution –Jz →Jz so that Jz is now simply the magnitude of the fair-weather current density. Charge will only be present at locations characterized by vertical gradients in the conductivity σ; i.e. locations where the electrical conductivity increases or decreases as one moves up or down. Since clouds are much less conducting than the surrounding air,48 such gradients will exist at cloud tops and bottoms.
Since conductivity decreases as one enters a cloud from below, the gradient will be negative and the bottom of the cloud will be characterized by a layer of negative charge.
Likewise, since conductivity increases as one exits the top of the cloud a layer of positive charge will be present at the cloud top (figure 4). The existence of such charge layers is consistent with observations.49 This charge will be present on both cloud droplets and aerosols at the cloud tops and bottoms and will affect the rates at which aerosols are scavenged by the cloud droplets. Since, at a given cloud boundary, eq. 9 implies that the charge on both aerosols and cloud droplets will be of the same algebraic sign, one might think that the aerosols and droplets will simply be repelled from one another (since like charges repel). However, because the cloud droplets and aerosols often contain conducting acids and/or salts,50,51 they should be treated as conducting spheres of non-negligible sizes. In such a situation, the expression for the electrostatic force between these conducting spheres is considerably more complicated than the simple expression (often encountered in high school or college physics classes) for the electrostatic force between two ‘point charges’. The expression for the electrostatic force between a cloud droplet and an aerosol particle can be obtained from the general solution for the problem of two conducting spheres within a uniform electric field. Within weakly electrified clouds, the electric field strength in the solution may be set equal to zero so that only terms independent of the electric field remain. The resulting expression involves a long-range repulsive force and two short-range attractive forces.52
In addition to this electrostatic force, an aerosol within a cloud is also acted upon by its weight and a drag force,53 as well as by ‘thermophoretic’ and ‘diffusiophoretic’ forces, forces which act upon the aerosol as a result of gradients in temperature and water vapor density.54
Experiments have shown that collisions between charged aerosols and droplets almost always result in the particles ‘sticking’ together.55 Since this ‘scavenging’ of the aerosols by cloud droplets can conceivably affect the droplet size distribution within the cloud (which in turn can affect precipitation and cloud lifetime), determining the manner in which the presence of charge affects the scavenging process is of great importance in obtaining a better understanding of cloud physics at the microscopic level. In principle, one could obtain the vector sum of all the forces acting on an aerosol and then use Newton’s 2nd Law of Motion to numerically compute the aerosol’s trajectory. However, random collisions between the aerosol and other particles ‘jostle’ the aerosol (Brownian motion), complicating the problem still further.56
Thus, Monte Carlo computer simulations must be used to simulate the effect that these random collisions have upon the aerosol’s trajectory. Such simulations show that, when the charges on the aerosols and droplets are of the same sign (as one would expect at cloud boundaries) the CMAS effect tends to increase the rate at which large aerosols (radius > ~0.1 µm) are scavenged by cloud droplets, while simultaneously decreasing the rate at which small aerosols are scavenged.57 This occurs within hours to days.58 As noted earlier, this tends to narrow the droplet size distribution, leading to a reduction in precipitation and an increase in cloud lifetime.
Eq. 9 is thus a link connecting cosmic rays with the amount of charge on aerosols and droplets within clouds. Cosmic rays modulate the tropospheric columnar resistance T, which in turn modulates Jz via eqs. 1 and 2. Jz, via eq. 9, results in charge on aerosols and cloud droplets, which may affect the microphysics of clouds sufficiently to affect precipitation rates and cloud lifetimes.
Arguments for the CMAS effect
Jz is modulated via eq. 1 by five independent inputs: (1) the global ionospheric potential Vi, (2) solar wind modulation of the ionospheric potential at high latitudes, (3) changes in GCR flux resulting from Forbush decreases and variations in solar activity, (4) decreases in the fluxes of energetic (relativistic) electrons precipitating into the stratosphere at times of ‘magnetic sector boundary crossings’ (but only during periods of high stratospheric aerosol loading when S is comparable to T), and (5) variations in polar stratospheric conductivity and (some) tropospheric ionization resulting from solar proton events (SPEs).59 The following meteorological variables have exhibited responses to these five inputs which are consistent with the CMAS mechanism:
Cloud cover
Generally, one expects lower Jz values to be associated with less cloud cover, and vice versa. Hence factors which lead to lower Jz values (such as reductions in GCR flux or smaller values of Vi) are expected to be associated with less cloud cover, and vice versa. The following is a short (but not exhaustive60) list of reported cloud responses to these inputs:
- A decrease in total northern Asian high-latitude cloud cover ~1 day after Forbush decreases.61
- Rapid increases (decreases) in mid-latitude cloud cover that are correlated with short-term increases (decreases) in GCR flux.62
- An increase in the daily global cloud cover over land correlated with large increases in the fair-weather surface vertical electric field (a proxy ‘stand-in’ for the ionospheric potential Vi) measured at Vostok station on the Antarctic plateau. Increases in cloud cover over Vostok were also associated with these increases in the Vi proxy.63
Northern hemisphere vorticity
A quantity called the vorticity area index (VAI) may be used as an indicator of the strengths and areal extent of northern hemisphere low pressure cyclonic systems.64 The VAI has also been shown to exhibit responses to a number of inputs that affect Jz:
- A decrease in northern hemisphere extended winter (November–March) VAI values ~1 day after moderate and large Forbush decreases.65
- A decrease in northern hemisphere extended winter VAI values ~1 day after a heliospheric current sheet (HCS) crossing, during times of high stratospheric aerosol loading.66,67 An HCS crossing occurs when the earth passes through a wavy layer of current, the heliospheric current sheet (HCS), which separates the radially outward and inward components of the interplanetary magnetic field (IMF).
- An increase in vorticity in the North Atlantic shortly after the onset of solar energetic proton (SEP) events, times of increased solar proton flux resulting in increased ionization in the magnetic polar caps.68
Three out of six of these responses cannot be due to the IMN mechanism, as they do not involve changes in GCR flux. Also, the responses are consistent with what would be expected if they were caused by variations in Jz. For instance, inputs which lead to higher Jzvalues lead to increased cloud cover, and vice versa, as expected. Another paper69 explains why the changes in the VAI are also consistent with changes in Jz.
In addition to these cloud and VAI responses, high-latitude pressure responses have also been observed to Vi70 as well as the east–west component of the interplanetary magnetic field.71
Although the reason for these responses is not well understood, both mechanisms affect high-latitude values of Jz.
Conclusion
Hence, there are two main theories as to the manner in which cosmic rays could affect weather and climate. One of the main differences between the CMAS and IMN mechanisms is that the IMN mechanism focuses entirely on cosmic rays, whereas the CMAS mechanism regards cosmic rays as only one of five different inputs which modulate the charge density on cloud droplets and aerosols via changes in the fair-weather current density Jz. Apparent difficulties with the IMN mechanism were discussed in this article, and a second article33 discusses apparent difficulties with the CMAS mechanism.
References and notes
- In recent years, the description ‘climate change’ has been used more and more frequently. The ambiguity of the term ‘climate change’ (since it could refer to any kind of change, warming or cooling) makes quantifying (or falsifying) such ‘change’ more difficult. Return to text.
- Oard, M.J., The Frozen Record, Institute for Creation Research, Santee, California, pp. 123–132, 2005. Return to text.
- IPCC Fourth Assessment Report: Climate Change 2007, Working Group I: The Physical Science Basis, Section 1.5.2, ‘Model Clouds and Climate Sensitivity’, ipcc.ch, retrieved online 25 April 2012. Return to text.
- Creation scientists with expertise in the atmospheric sciences tend to believe that warming has been occurring, and that there is a man-made component to this warming. However, they generally believe that most of the warming is due to natural sources. For instance, see The Great Global Warming Debate: The facts, The fiction and the furor (DVD), Creation Ministries International, 2010. Return to text.
- The report was leaked by blogger Alec Rawls and posted on his website, stopgreensuicide.com on 12 December 2012. Return to text.
- Showstack, R., Defending climate science, News in Brief, EOS (Trans. Amer.Geophys. Union) 93(5):51, 2012. Return to text.
- Klevberg, P. and Oard, M.J., The Little Ice Age in the North Atlantic Region—part I: introduction to Paleoclimatology, CRSQ 47(3):213–227, 2011. Return to text.
- Hargreaves, J.K., The Solar-Terrestrial Environment, Cambridge University Press, Cambridge, p. 141, 1995. Return to text.
- Haigh, J.D. and Blackburn, M., Solar influences on dynamical coupling between the stratosphere and troposphere, Space Sci. Rev. 125(1–4):331–344, 2006. Return to text.
- Friedlander, M., A century of cosmic rays, Nature 483(7390):400–401, 2012 | doi:10.1038/483400a. Return to text.
- McKee, M., Cosmic rays originate from supernova shockwaves, Nature News, nature.com, accessed 9 April 2013. Return to text.
- Mewaldt, R.A., Cosmic Rays, srl.caltech.edu, accessed 9 April 2013. Return to text.
- These solar energetic particles, which may be accelerated by very energetic solar flare events, should not be confused with the lower energy (keV) charged particles generally present in the solar wind. Return to text.
- Carslaw, K.S., Harrison, R.G. and Kirkby, J., Cosmic rays, clouds, and climate, Science 298:1732–1737, 2002. Return to text.
- Coronal Mass Ejections, NASA Marshall Space Flight Center webpage, solarscience.msfc.nasa.gov, accessed 28 March 2012. Return to text.
- Who’s Afraid of a Solar Flare?, NASA Science News, science.nasa.gov, accessed 28 March 2012. Return to text.
- Friedlander, ref. 10, p. 401. Return to text.
- Gringel, W., Rosen, J.M. and Hofmann, D.J., Electrical Structure from 0 to 30 kilometers, The Earth’s Electrical Environment, National Academy Press, Washington, D.C., pp. 166–182, 1986. Return to text.
- Dickinson, R.E., Solar variability and the lower atmosphere, Bull. Am. Meteorol. Soc. 56(12):1240–1248, 1975. Return to text.
- Carslaw et al., ref. 14, pp. 1734–1736. Return to text.
- One might be surprised to learn that in the absence of cloud condensation nuclei water droplets do not start condensing in pure water vapor unless the relative humidity reaches several hundred percent. See Rogers, R.R. and Yau, M.K., A Short Course in Cloud Physics, 3rd ed., Butterworth-Heinemann, p. 81, 1996. Return to text.
- Svensmark, H. and Friis-Christensen, E., Variation of cosmic ray flux and global cloud coverage—a missing link in solar-climate relationships, J. Atmos. Solar Terr. Phys. 59(11):1225–1232, 1997. Return to text.
- Marsh, N.D. and Svensmark, H., Low cloud properties influenced by cosmic rays, Phys. Rev. Lett. 85(23):5004–5007, 2000. Return to text.
- Marsh, N. and Svensmark, H., Galactic cosmic ray and El Niño-southern oscillation trends in international satellite cloud climatology project D2 low-cloud properties, J. Geophys. Res. 108(D6):4195, 2003. Return to text.
- Kirkby, J., Curtius, J., Almeida, J. et al., Role of sulphuric acid, ammonia and galactic cosmic rays in atmospheric aerosol nucleation, Nature 476(7361):429–433, 2011 | doi:10.1038/nature10343. Return to text.
- Merikanto, J., Spracklen, D.V., Mann, G.W., Pickering, S.J. and Carslaw, K.S., Impact of nucleation on global CCN, Atmos. Chem. Phys. 9:8601–8616, 2009 | doi:10.5194/acp-9-8601-2009. Return to text.
- Gray, L.J., Beer, J., Geller, M. et al., Solar influences on climate, Rev. Geophys. 48:RG4001, 2010. Return to text.
- Marsh and Svensmark, ref. 23, p. 5004. Return to text.
- Marsh and Svensmark, ref. 23, pp. 5004–5005. Return to text.
- Pierce, J.R. and Adams, P.J., Can cosmic rays affect cloud condensation nuclei by altering new particle formation rates?, Geophys. Res. Lett. 36:L09820, 2009. Return to text.
- Svensmark, H., Enghoff, M.B. and Pedersen, J.O.P., Response of Cloud Condensation Nuclei (> 50 nm) to changes in ion-nucleation, submitted for publication in Phys. Rev. Letts. Preprint archived at arxiv.org/abs/1202.5156v1, accessed 19 April 2012. Return to text.
- Vardiman, L., A New Theory of Climate Change, Institute for Creation Research, Dallas, TX, 2009; icr.org. Return to text.
- Hebert, L., Apparent difficulties with a cosmic ray-weather/climate link, J. Creation 27(3):93-97, December 2013. Return to text.
- Tinsley, B.A., Electric charge modulation of aerosol scavenging in clouds: rate coefficients with Monte Carlo simulation of diffusion, J. Geophys. Res. 115(D23):211, 2010. Return to text.
- Lutgens, F.K., Tarbuck, E.J. and Tasa, D., The Atmosphere: An Introduction to Meteorology, 11th ed., Prentice Hall, New York, p. 55, 2010. Return to text.
- Ram, M., Stolz, M.R. and Tinsley, B.A., The Terrestrial Cosmic Ray Flux: Its Importance for Climate, EOS (Trans. Amer. Geophys. Union) 90(44):397–398, 2009. Return to text.
- Cess, R.D. et al., Interpretation of cloud-climate feedback as produced by 14 atmospheric general circulation models, Science 245(4917):513–516, 1989; kiwi.atmos.colostate.edu, accessed 20 February 2013. Return to text.
- Bering, E.A. III, Few, A.A. and Benbrook, J.R., The global electric circuit, Physics Today 51(10):24–30, 1998. Return to text.
- Tinsley, B.A., Burns, G.B. and Zhou, L., The role of the global electric circuit in solar and internal forcing of clouds and climate, J. Adv. Space Res. 40(7):1126–1139, 2007 | doi:10.1016/j.asr.2007.01.071. Return to text.
- Tinsley, B.A., The global atmospheric electric circuit and its effects on cloud microphysics, Rep. Prog. Phys. 71(066801):1–31, 2008. Return to text.
- Tinsley et al., ref. 39, p. 1126. Return to text.
- Williams, E.R. and Heckman, S.J., The local diurnal variation of cloud electrification and the global diurnal variation of negative charge on the Earth, J. Geophys. Res. 98(D3):5221–52334, 1993. Return to text.
- Bering et al., ref. 38, p. 24. Return to text.
- Gringel et al., ref. 18, p. 176. Return to text.
- Hebert, L., Atmospheric Electricity Data from Mauna Loa Observatory: Additional Support for a Global Electric Circuit-Weather Connection?, Ph.D. dissertation, University of Texas at Dallas, p. 4, 2011. Return to text.
- Gringel et al., ref. 18, p. 172. Return to text.
- Tinsley et al., ref. 39, p. 1130. Return to text.
- Pruppacher, H.R. and Klett, J.D., Microphysics of Clouds and Precipitation, 2nd ed., Kluwer Academic, Dordrecht, p. 802, 1997. Return to text.
- Nicoll, K.A. and Harrison, R.G., Experimental determination of layer cloud edge charging from cosmic ray ionisation, Geophys. Res. Lett. 37(13):L13802 | doi: 10.1029/2010GL043605. Return to text.
- Pruppacher and Klett, ref. 48, p. 711. Return to text.
- Mason, B.J., The Physics of Clouds, 2nd ed., Clarendon Press, Oxford, p. 63, 1971. Return to text.
- Zhou, L., Tinsley, B.A. and Plemmons, A., Scavenging in weakly electrified saturated and subsaturated clouds, treating aerosol particles and droplets as conducting spheres, J. Geophys. Res. 114(D18):201, 2009 | doi:10.1029/2008JD011527. Return to text.
- Pruppacher and Klett, ref. 48, p. 733. Return to text.
- Pruppacher and Klett, ref. 48, p. 724. Return to text.
- Rogers, R.R. and Yau, M.K., A Short Course in Cloud Physics, 3rd edn, Butterworth-Heinemann, p. 124, 1996. Return to text.
- Pruppacher and Klett, ref. 48, p. 447. Return to text.
- Tinsley, ref. 34. Return to text.
- Zhou, et al., ref. 52, especially table 1. Return to text.
- Tinsley et al., ref. 39, pp. 1128–1132. Return to text.
- An additional response is reported in Kniveton, D.R. and Tinsley, B.A., Daily changes in cloud cover and Earth transits of the heliospheric current sheet, J. Geophys. Res. 109(D11201):1–13, 2004 | doi: 10.1029/2003JD004232. Return to text.
- Pudovkin, M.I. and Veretenenko, S.V., Cloudiness decreases associated with Forbush-decreases of galactic cosmic rays, J. Atmos. Terr. Phys. 57(11):1349–1355, 1995. Return to text.
- Laken, B.A., Kniveton, D.R. and Frogley, M.R., Cosmic rays linked to rapid mid-latitude cloud changes, Atmos. Chem. Phys. 10:10941–10948, 2010 | doi:10.5194/acp-10-10941-2010. Return to text.
- Kniveton, D.R., Tinsley, B.A., Burns, G.B. et al., Variations in global cloud cover and the fair-weather vertical electric field, J. Atmos. Solar Terr. Physics 70(13):1633–1642, 2008 | doi:10.1016/j.jastp.2008.07.001. Return to text.
- Essentially the VAI is the surface area over which the vertical component of vorticity exceeds a threshold value. Roberts, W.O. and Olson, R.H., Geomagnetic Storms and Wintertime 300-mb Trough Development in the North Pacific-North America Area, J. Atmos. Sci. 30(1):135–140, 1973 | http://dx.doi.org/10.1175/1520-0469(1973)030<0135:GSAWMT>2.0.CO;2. Return to text.
- Tinsley, B.A. and Deen, G.W., Apparent Tropospheric Response to MeV-GeV Particle Flux Variations: A Connection Via Electrofreezing of Supercooled Water in High-Level Clouds? J. Geophys. Res. 96(D12):22283–22296, 1991 | doi: 10.1029/91JD02473. Return to text.
- Kirkland, M.W. and Tinsley, B.A., Are stratospheric aerosols the missing link between tropospheric vorticity and Earth transits of the heliospheric current sheet?, J. Geophys. Res. 101(D23):29689–29699, 1996 | doi: 10.1029/96JD01554. Return to text.
- Mironova, I., Tinsley, B. and Zhou, L., The links between atmospheric vorticity, radiation belt electrons, and the solar wind, J. Adv. Space Res. 50(6):783–790, 2012 | doi:10.1016/j.asr.2011.03.043. Return to text.
- Veretenenko, S. and Thejll, P., Effects of energetic solar proton events on the cyclone development in the North Atlantic, J. Atmos. Solar Terr. Phys. 66(5):393–405, 2004 | doi:10.1016/j.jastp.2003.11.005. Return to text.
- Hebert, L., Are cosmic rays affecting high-latitude winter cyclones?, J. Creation 28(1):59-67, 2014. Return to text.
- Burns, G.B., Tinsley, B.A., French, W.J.R. et al., Atmospheric circuit influences on ground-level pressure in the Antarctic and Arctic, J. Geophys. Res. 113(D15):112, 2008 | doi:10.1029/2007JD009618. Return to text.
- Burns, G.B., Tinsley, B.A., Frank-Kamenetsky, A.V. et al., Interplanetary magnetic field and atmospheric electric circuit influences on ground-level pressure at Vostok, J. Geophys. Res. 112(D4):04103, 2007 | doi:10.1088/1748-9326/8/4/045001. Return to text.










Readers’ comments
Comments are automatically closed 14 days after publication.